一、 斷裂韌性試驗描述
研究裂紋在應力作用下如何在材料中擴展。材料分為以下幾類:
脆性材料:裂紋通常會使試樣迅速破壞。脆性斷裂測試描述了應力強度的臨界水平KIC,這是試樣中裂紋保持穩定的最大應力水平。高于這一水平的應力會導致裂紋迅速增長,通常會導致災難性的試件破壞。
韌性材料:裂紋不會立即導致試件失效,而是隨著施加應力的增加而繼續抵抗裂紋擴展。韌性斷裂測試描述了JIC,這是導致裂紋伸長所需能量的測量。
相關標準:ASTM E399,ASTM E1820,ISO 12135,GB/T 21143。
二、關于試樣
裂紋試驗的大多數試驗需要特定形狀的試樣,在一系列的標準中都有對試樣進行描述。在參數設置時可以選擇不同的試樣形狀,常用的有CT(直通型、臺階型)和SEN(B)(三點彎曲)試樣形狀。試樣形狀及尺寸信息會直接影響結果,在測量尺寸時應準確測量。
CT試樣(直通型):

直通型缺口緊湊拉伸試樣(無側槽B=Bn) 直通型缺口緊湊拉伸試樣(有側槽)

臺階型緊湊拉伸試樣
附加刀口:


SEN(B)試樣(無側槽):

SEN(B)試樣(有側槽):

附加刀口:


三、關于試驗設備:電液伺服疲勞試驗機

規格型號:HDT254B、HDT504B、HDT105B、HDT255B
最大試驗力(kN):25、50、100、250
試驗力測量范圍:2%~100%FS
試驗力示值精度:0.5%
作動器行程(mm):150(±75)
位移測量分辨率:0.001
試驗頻率(Hz): 50

COD引伸計:3541系列

同軸度調整裝置


同軸度測試儀(選配)

試驗工裝:拉伸工裝、三點彎曲工裝

高溫爐或環境箱(選配)

試驗軟件:萬測自主研發TestCenter軟件含斷裂力學分析
四、關于計算公式
1.應力強度因子K計算:


2.裂紋長度計算
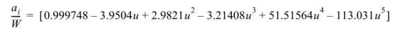
2.1對于SEB彎曲壓縮試樣測量缺口張開位移位置a/W計算:


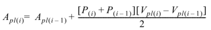
2.2對于臺階型緊湊拉伸試樣:


3.斷裂韌度J計算:




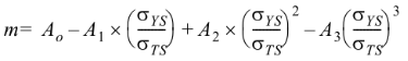
4.斷裂韌度δ計算:


五、關于裂紋試驗
1.預制裂紋
![640[1].jpg 640[1].jpg](/upload/ueditor/image/20230423/6381784024328721931229817.jpg)

2.斷裂韌性

六、裂紋試驗數據分析

